건물주 부럽지 않은 배당주 월세 50만원 받는 법

안녕하세요! 금융과 재테크의 꿀잼 포인트를 찾아드리는 여러분의 재테크 버디 메이트레인입니다. 😎
혹시 매달 따박따박 월세가 들어오는 통장을 보며 "아, 나도 건물주 하고 싶다" 생각해 보신 적 있나요? 비싼 부동산이 없어도, 우리도 충분히 월세 부자가 될 수 있습니다. 바로 주식 시장의 숨은 월세 통장, 배당주 투자를 통해서 말이죠!
오늘은 잠자는 동안에도 돈이 들어오는 마법, 배"당"당하게 월세 받는 배당주 투자 전략에 대해 A부터 Z까지 쉽고 재미있게 알려드릴게요. 2025년 최신판이니 눈 크게 뜨고 따라오세요!
잠자는 동안 월세 50만원? 배당주 투자로 건물주 되는 현실 전략
배당주 투자, 그게 월세랑 무슨 상관이죠?
이야기를 하나 해볼까요? 여기 아주 장사를 잘해서 돈을 많이 버는 치킨집이 있습니다. 우리는 그 치킨집의 주인이 될 돈은 없지만, 주식 1주를 사서 '작은 동업자'가 될 수는 있죠. 치킨집 사장님은 장사해서 남은 이익의 일부를 동업자인 우리에게 나눠주는데, 이게 바로 배당금입니다.
즉, 배당주 투자란 이렇게 꾸준히 이익을 내고, 그 이익을 주주들에게 잘 나눠주는 착한 기업의 주식을 사서 정기적으로 배당금을 받는 재테크 방법이에요. 이 배당금을 매달 또는 분기마다 받다 보면, 마치 월세를 받는 것과 같은 안정적인 현금 흐름을 만들 수 있는 거죠. 건물 없이도 월세 받는 시스템, 정말 매력적이지 않나요?

그래서 얼마면 돼요? 내 목표 월세를 위한 투자금 시뮬레이션
"좋아요, 메이트레인님! 그래서 월세 50만원 받으려면 돈이 얼마나 필요하죠?"
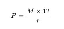
가장 궁금해하실 핵심 질문이죠. 바로 계산기를 두드려 보겠습니다. 필요한 투자 원금을 구하는 공식은 생각보다 간단해요.

- : 필요한 총 투자 원금
- : 내가 받고 싶은 월 목표 배당금 (월세)
- : 투자할 주식의 연간 예상 배당 수익률 (%)
자, 이 공식에 맞춰 여러분의 '꿈의 월세'를 계산해볼까요? 예를 들어, 월 50만원의 현금 흐름을 만들고 싶고, 연 5%의 배당을 주는 주식에 투자한다고 가정해봅시다.
- 연간 목표 배당금: 50만원 X 12개월 = 600만원
- 필요 투자 원금: 600만원 ÷ 0.05 (5%) = 1억 2,000만원
"헉, 1억 2천만원이라니 너무 큰데요?" 라고 생각하실 수 있어요. 하지만 처음부터 겁먹을 필요는 없습니다! 아래 표를 보면서 목표를 차근차근 설정해 보세요.

어떤가요? 배당 수익률이 높은 주식을 잘 고르면 목표 달성에 필요한 투자금이 확 줄어드는 게 보이시죠? 그래서 어떤 배당주를 고르느냐가 정말 중요하답니다.
'월세 50만원' 목표, 현실적인 달성 기간은? (feat. 복리의 마법)
목표 금액을 확인했다면, 이제 '언제까지' 달성할지 계획을 세워야 합니다. 이건 마치 마라톤 코스를 짜는 것과 같아요. 무리한 계획은 금방 지치게 만들죠.
보통 3년, 5년, 10년 단위로 계획을 세우는 것이 일반적입니다. 예를 들어, 현재 5천만원의 종잣돈이 있고 매달 50만원씩 추가로 투자한다고 가정해볼게요. 연 7%의 배당금을 꾸준히 재투자한다면 어떤 일이 벌어질까요?
바로 복리의 마법이 시작됩니다!
받은 배당금을 쓰지 않고 그대로 다시 투자하면, 그 이자(배당금)가 또 다른 이자를 낳으며 눈덩이처럼 자산이 불어나는 효과죠. 아인슈타인이 '세계 8대 불가사의'라고 불렀던 바로 그 원리입니다.
이렇게 복리 효과를 활용하면, 위 예시의 경우 약 7~8년 안에 목표했던 1억 2천만원에 도달할 수 있습니다. 매달 투자하는 금액이 커질수록 기간은 더 단축되겠죠? 중요한 건 '포기하지 않고 꾸준히' 투자하는 습관입니다.

초보 투자자를 위한 실전 꿀팁: 어떤 배당주를 골라야 할까?
자, 이제 가장 실용적인 팁입니다. "어떤 종목을 사야 안정적으로 배당주 월세를 받을 수 있을까요?"
초보 투자자라면 개별 종목을 하나하나 분석하기보다, 다음 두 가지 방법을 추천합니다.
- 배당 귀족주 (Dividend Aristocrats) 수십 년 동안 한 번도 거르지 않고 배당금을 지급했으며, 심지어 그 배당금을 계속 늘려온 근본 있는 우량 기업들을 말합니다. 경기가 흔들려도 쉽게 망하지 않고 꾸준히 배당을 줄 확률이 높겠죠? 마치 월세를 한 번도 밀린 적 없는 착한 세입자 같다고 할 수 있습니다.
- 고배당 ETF (High Dividend ETF) "나는 종목 고르기 너무 어려워!" 하는 분들을 위한 최고의 선택지입니다. 고배당 ETF 하나만 사면, 알아서 여러 개의 우량 고배당주에 분산 투자해주는 효과를 누릴 수 있습니다. 달걀을 한 바구니에 담지 않는 가장 안전하고 편리한 방법이죠. 2025년 현재 국내 시장에서도 다양한 고배당 ETF 상품들이 출시되어 있으니 꼭 확인해보세요.
이 글의 핵심만 콕! 배당주로 월세 만들기 3줄 요약
- 배당주 투자는 꾸준히 이익을 나눠주는 기업의 주주가 되어, 부동산처럼 안정적인 현금 흐름(월세)을 만드는 재테크 전략이다.
- 월 50만원의 배당금을 목표로 한다면, 연 5~6% 배당률 기준 약 1억~1억 2천만원의 투자금이 필요하다.
- 단기간에 목돈을 만들기보다, 배당금 재투자로 복리 효과를 누리며 5~10년의 장기 계획을 세우는 것이 현실적이다.
배당주를 통해 나만의 현금 흐름 파이프라인을 구축하는 길, 결코 멀리 있지 않습니다. 오늘 당장 월 10만원이라도 목표를 세우고 시작해보는 건 어떨까요? 작은 눈덩이가 굴러 거대한 산사태를 만드는 것처럼, 여러분의 작은 시작이 경제적 자유라는 큰 결실을 맺게 될 겁니다.
여러분의 첫 배당주 월세 목표 금액은 얼마인가요? 댓글로 함께 공유하며 서로 응원해주세요!
더 많은 투자 전략과 재테크 꿀팁이 궁금하다면, 다른 글들도 놓치지 마세요! 여러분의 성공적인 투자를 항상 응원하겠습니다. 긴 글 읽어주셔서 감사합니다. 오늘도 즐거운 하루 보내세요.
더 많은 금융 및 재테크 이야기가 궁금하다면?
월세 통장 파트너 찾기! 배당 귀족주 vs 고배당 ETF
안녕하세요! 여러분의 든든한 재테크 파트너, 메이트레인입니다. 지난번 '배당주로 월세 통장 만들기' 글, 정말 많은 분이 좋아해 주셨는데요! 그래서 오늘은 한 걸음 더 들어가, 여러분의 소중
maytrainhs.com
2025 청년도약계좌, 5천만원 목돈 만들기!
안녕하세요! 여러분의 재테크 메이트, 메이트레인입니다. 다들 ‘티끌 모아 태산’이라는 말, 들어보셨죠? 하지만 요즘 같은 고금리, 고물가 시대에 월급만으로 태산을 만들기는커녕 티끌 모으
maytrainhs.com